|
|
DIVERS |
![]()
Notes : certaines images sont réactives
et peuvent alors être agrandies en cliquant dessus.
© INRP - TECNE
Dernière mise à jour 03/04/1998
Qui peut prendre un nombre infini de valeurs sur un certain intervalle de définition.
Dans un logiciel, désigne l'algorithme qui permet d'analyser une succession de symboles représentant des nombres, opérations et fonctions mathématiques, et d'effectuer les calculs correspondants. Ceci permet à partir d'une expression mathématique, et via un convertisseur numérique-analogique (voir C.A.D. dans "Electronique et informatique musicale") de créer un son.
Notion liée à l'étude du bruit. L'étendue fréquentielle audible est séparée en intervalles matérialisés par des filtres dont les maxima sont respectivement à l'octave l'un de l'autre : 63, 125, 250, 500, 1000, 2000, 4000 et 8000 Hz. La bande passante d'un tel filtre est dite bande d'octave.

Alexander Graham Bell (1847-1922). Ingénieur américain, inventeur du téléphone (1876). Son nom est attaché à l'unité d'acoustique le Bel (voir Bel, Décibel dans "Notions fondamentales" ou Décibel (plus loin)).
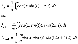
Fonctions particulières intervenant dans différents calculs en physique. Dans le domaine des vibrations, les fonctions de Bessel interviennent dans la modélisation des vibrations des surfaces et dans la décomposition spectrale des signaux modulés en fréquence (voir Modulation de Fréquence dans "Aspects technologiques"). Il s'agit des fonctions dites de Bessel de première espèce, notées Jn. L'expression intégrale des fonctions Jn peut s'écrire de différentes façons :

|
|
|
Situation expérimentale dans laquelle on prend en compte les deux oreilles pour étudier la perception des sons, leur spatialisation en particulier.
Abréviation de binary digit. Unité minimale d'information pouvant prendre seulement deux états (valeurs 0 et 1).
Consultative commitee on international telephone and telegraph.
Comité consultatif international des radio-communications.
Compact Disc Interactif (1991) : disque compact (diamètre : 12 cm) dédié à l'enregistrement du son, du texte, de l'image fixe ou animée et de la vidéo. Le lecteur CDI se relie à une télévision.
Disque compact de type Digital Audio, avec une partie de type cédérom.
Compact Disc Vidéo : disque compact (diamètre : 12 cm) dédié à la vidéo.
Disque compact (diamètre : 12 cm) dédié à l'enregistrement de données informatiques au sens le plus général (voir également CDI). Le lecteur de cédérom se relie à un ordinateur.
Canal : désigne l'équivalent d'une piste mono d'enregistrement. On l'utilise généralement pour la désignation (et donc le choix) entre le canal droit et le canal gauche d'un signal sonore stéréo.
Time code en anglais : message envoyé par un programme de synchronisation pour la commande de plusieurs appareils.
Opération permettant d'ajouter à la suite les uns des autres, différents signaux numériques pour réaliser un seul son.
Copier : désigne une opération de "copie" dans un logiciel : un objet (texte, son, image, etc.) sélectionné dans un document peut ainsi être copié dans une zone mémoire temporaire (le Presse-Papier) ; il peut ensuite être "collé" en un autre endroit du document, ou dans un autre document (voir Paste).
Couper : désigne une opération de "coupe" dans un logiciel : un objet (texte, son, image, etc.) sélectionné est ainsi supprimé du document et placé dans une zone mémoire temporaire (le Presse-Papier) ; il peut ensuite être "collé" en un autre endroit du document, ou dans un autre document (voir Paste).
Courant continu (Direct current, en anglais).
Algorithme utilisé dans le traitement des signaux numérique qui permet de recentrer (autour de la valeur moyenne alors mise à zéro) ou de décentrer la valeur moyenne de l'onde.
Le décibel, symbole dB, est une unité relative fondée sur une échelle logarithmique. De façon générale, la valeur Y en décibel d'une grandeur X repérée par un niveau de référence Xo est définie par : Y=10 * log(X/Xo).
Il s'agit de mesures effectuées en audiométrie. La référence est ici donnée pour un certain nombre de fréquences dans l'échelle audible par un seuil normal standard. Les mesures sont exprimées en dB HL (Hearing Level) ou dB HTL (Hearing Treshold Level).
Puissance acoustique surfacique par unité de fréquence (W.m-2.Hz-1).
Deutsche industrie normen
Affection qui, pour un signal sinusoïdal constant (en fréquence et en intensité) conduit à une estimation de hauteur tonale un peu différente d'une oreille à l'autre.
Variation apparente de la fréquence émise par une source en fonction du déplacement relatif de la source par rapport au récepteur. Si la source et le récepteur se déplacent sur une même droite orientée de la source vers le récepteur, la fréquence apparente N' est liée à la fréquence émise N par la relation :
N'/N=(V-v') / (V-v) avec
V: célérité du signal,
v': célérité du récepteur
v: célérité de la source.
Digital Vidéo Disc : disque compact de même dimension que les actuels CD, sur lesquels on pourra stocker de 7 à 30 fois plus d'informations.
Philosophe et scientifique allemand (1801-1887).
Fast Fourier Transform : algorithme de calcul rapide de la transformée de Fourier discrète. Repose sur une fenêtre comportant N = 2n échantillons (voir aussi Sonagramme dans "Notions fondamentales")
Désigne généralement une structure de fichier de données : type et nature des informations mises dans l'en-tête (CHUNK), valeurs représentées sur les octets qui constituent le corps du fichier (BODY). Les fichiers "son" les plus répandus sont : .WAV, .VOC; .RAW. On peut citer également ici les fichiers .MID qui contiennent les informations relatives à un fichier MIDI. (Voir WAV, RAW, VOV, MIDI).
Mathématicien et Physicien Français (1768-1830)
Somme de fonctions trigonométriques de fréquences multiples d'une valeur de base No qui égalise une fonction périodique de forme quelconque mais de fréquence No.
Opération mathématique qui permet de décrire une fonction quelconque par une suite de fonctions trigonométriques dont les paramètres (amplitude, fréquence et phase) sont calculables (voir Fourier (série de) ainsi que Analyse fréquentielle dans "Electronique et informatique musicale")
Désigne un filtre permettant d'éliminer les fréquences qui apparaissent dans l'analyse spectrale numérique d'un signal : la fréquence de coupure doit être au plus égale à la moitié de la fréquence d'échantillonnage (voir FFT, Fourier, Shannon ainsi que Echantillonnage dans "Electronique et informatique musicale"). Le terme de repliement vient de ce que la partie spectrale ainsi éliminée est l'image symétrique de la partie que l'on conserve.
Groupe de Recherche Musicale de l'Institut National de l'Audiovisuel. (Paris).
Physicien allemand (1857-1894).
Désigne des effets de perception qui font percevoir un timbre, une hauteur, un rythme qui ne sont pas dans les éléments qui consituent le son. Notons que dans certains cas le terme d'illusion acoustique est utilisé de façon exagérée : la perception d'un son qui, réalisé par synthèse spectrale, monte (ou descend) indéfiniment n'est pas une illusion dans le sens où ce que l'on perçoit est bien ce qui fonde le son créé.
Institut de Recherches et Coordination Acoustique - Musique. (Paris)
Rétroaction positive (par bouclage acoustique) de la sortie sur l'entrée d'une chaîne acoustique qui se caractérise par un sifflement parasite intense. Le phénomène est dangereux pour les appareils puisqu'il correspond à une auto-amplification jusqu'à saturation d'au moins un des éléments de la chaîne.
Type de compresseur (voir Compresseur dans "Electronique et informatique musicale") particulier qui, à partir d'un certain niveau d'entrée, donne une valeur de sortie pratiquement constante.
Concerne le stockage sur support permanent de l'information numérique dans le but d'une utilisation ultérieure. Renvoie à un nombre (en Mo : Mega-octets) qui exprime la place et donc la quantité d'information stockable.
National association of broadcasters.
Voir Décibel.
Normalisation : commande utilisée en informatique musicale qui maximise le volume d'un signal. Par construction tous les signaux générés le sont avec l'amplitude maximale possible.
Dans certains logiciels, cette option est accompagnée d'une possible spécification du maximum (on peut ainsi maximiser à 50% deux signaux que l'on veut ensuite mixer).
Expression binaire constitué de 8 bits. Chaque bit pouvant prendre 2 valeurs (0 ou 1), un octet peut donc prendre 28, soit 256 valeurs. La quantification d'une valeur analogique sur 1 octet entraîne donc la discrétisation sur 256 valeurs.
Sur-échantillonnage.
Voir Filtre dans "Aspects technologiques".
Voir Filtre dans "Aspects technologiques".
Haut-parleur ne comportant ni bobine mobile ni aimant donc sans connexion électrique. Ce genre de haut-parleur est uniquement utilisé dans les enceintes closes. Sa présence augmente le rendement de l'enceinte et favorise la réponse dans les graves car il sert à décomprimer la membrane du haut-parleur actif.
Coller : désigne une opération de "collage" dans un logiciel, c'est-à-dire l'insértion d'un objet (texte, son, image, etc.) préalablement placé par copie (Copy) ou coupé (Cut) dans une mémoire temporaire (Presse-Papier) à une nouvelle place dans le document en cours ou dans un nouveau document. Dans les logiciels audionumériques, cette fonction est généralement possible de plusieurs façons : un collage par insersion vraie (l'élément suivant le point d'insertion est déplacé), par insersion-remplacement (l'élément collé remplace le son à partir du point d'insertion), ou par insersion-mixage (l'élément à coller est mixé au son présent) ; ce dernier cas fait aussi l'objet d'une commande spéciale : Mixer.
Angle du vecteur tournant associé à une fonction sinusoïdale en représentation de Fresnel. Il exprime le décalage temporel d'un signal sinusoïdal par rapport à une origine arbitrairement choisie.
Abaissement, avec l'âge, de la limite supérieure des fréquences audibles.
Système conducteur comportant deux pôles d'entrée et deux pôles de sortie.
Random access memory : mémoire vive d'un ordinateur (MEV en français): mémoire volatile destinée à être lue, écrite ou réécrite.
Permet de définir (ou modifier) la fréquence d'échantillonnage
Format de données brutes, utilisé aussi bien pour les sons que pour les images : les valeurs des octets sont mises séquentiellement dans un fichier sans en-tête. La lecture d'un tel fichier (pour un signal sonore) nécessite de spécifier si la numérisation a été faite sur 8 ou 16 bits et quelle a été la fréquence d'échantillonnage.
Désigne, dans le calcul numérique et la représentation du spectre d'un signal, l'apparition d'une partie symétrique autour de la fréquence de Nyquist. Cet effet est lié au calcul d'un spectre échantillonné sur un signal échantillonné (calcul par FFT). Il explique le critère de Nyquist (ou de Shannon) donnant les limites de l'analyse fréquentielle d'un signal en fonction de son échantillonnage, et l'utilisation d'un filtre antirepliement pour ne pas avoir à tenir compte de ce qui est ici un artefact (voir FFT, Fourier, Shannon, Filtre antirepliement ainsi que Echantillonnage dans "Electronique et informatique musicale").

Rééchantillonnage : opération permettant de changer la fréquence d'échantillonnage d'un signal numérisé. Cette opération est souvent employée pour diminuer, lorsque la reproduction du signal l'autorise, le volume utilisé en mémoire.
Désigne généralement la valeur minimale qui peut être mesurée ou calculée par un dispositif ou une méthode. Ce terme peut être employé à différentes niveaux d'un traitement numérique du signal : résolution temporelle (c'est la période qui correspond à la fréquence d'échantillonnage), résolution de quantification (la valeurs de tension minimale correspondant à 1 bit, et qui dépend du convertisseur, suivant qu'il fonctionne sur 8 bits ou 16 bits, par exemple), ou encore résolution en fréquence dans une analyse spectrale par transformée de Fourier (limite égale à 1/(N.Te), si N désigne le nombre d'échantillon utilisés pour le calcul et Te la période d'échantillonnage ; voir Analyse fréquentielle dans "Electronique et informatique musicale" et Sonagramme dans "Notions fondamentales").
Root mean square : racine carrée de la valeur moyenne du carré.
Read only memory : mémoire uniquement destinée à
être lue (dans un ordinateur).
Souvent appelée mémoire morte (MEM en français).
Echantillon (en anglais). Voir Echantillon dans "Electronique et informatique musicale".
Permet de choisir (ou modifier) le type de conversion analogique-numérique : choix entre 8 et 16 bits, choix de la fréquence d'échantillonnage, choix du mode mono/stéréo.
Echantillonneur, c'est-à-dire convertisseur analogique-numérique utilisé pour la numérisation du son (voir Echantillonneur dans "Electronique et informatique musicale".
Echantillonnage (en anglais). Voir Echantillonage dans "Electronique et informatique musicale".
La condition de Shannon (critère de Nyquist) s'énonce ainsi : "Si on veut échantillonner sans perdre d'information un signal à spectre limité, il faut échantillonner ce signal à une fréquence au moins égale au double de la plus haute fréquence qu'il contient".
Désigne la possibilité de traiter un signal en passant par une numérisation dont l'échantillonnage excède le minimum requis pour la production finale (voir Shannon). Cela peut-être intéressant lorsque des traitements intermédiaires importants sont nécessaires. Le sur-échantillonnage assure que la perte d'information qui peut en résulter sera inférieure au seuil de restitution final.
Voir Code Temporel.
Fréquences présentes dans les phases rapidement variables d'un objet sonore (surtout à l'attaque) et qui peuvent concourir grandement à la reconnaissance du timbre.
Format de données, utilisé dans certains logiciels audio-numériques.
Format de données, utilisé dans de nombreux logiciels audionumériques. Une en-tête contient des "chunk" indiquant le type de quantification (8 ou 16 bits), la fréquence d'échantillonnage, le mode de sauvegarde (avec ou sans parité, place des poids forts) et le nombre d'échantillons. C'est le type de fichiers le plus répandu dans les applications Windows.